Señores:
El artículo inédito que presento a continuación es, en esencia, un conjunto de las mejores citas que he ido acumulando a lo largo de mis trabajos de investigación sobre la naturaleza y los métodos de activación y de modificación del betún asfáltico que se emplea en la construcción de carreteras.
El autor del artículo pretende que los datos que aporta puedan servir a los investigadores en estos temas como base para encontrar nuevos procedimientos que mejoren las características de los ligantes empleados en obra, así como abaratar los costes. En definitiva, la investigación no debe tratar de copiar métodos, sino de mejorarlos. Si este artículo sirve de ayuda para alcanzar estos objetivos, el autor estará satisfecho.
Dentro de unas pocas fechas se podrá leer otro artículo de las mismas características sobre emulsiones de betún asfáltico, ya que el autor está dispuesto a que las muchas referencias estudiadas en varios años de trabajo no queden archivadas para siempre en los cajones de su escritorio. Los datos sobre estos y otros temas estarán a disposición de cerebros más jóvenes y frescos, de personas que disfruten con el trabajo de laboratorio y lleven más allá los conocimientos.
APUNTES SOBRE LA ACTIVACIÓN Y MODIFICACIÓN DEL BETÚN ASFÁLTICO
Por Juan Martín Mira
RESUMEN: En este artículo, con el objetivo de contribuir a los estudios e investigaciones, se hace un recuento seleccionado de los aspectos más destacados de la química aplicada a los betunes asfálticos para carreteras. En primer lugar se citan análisis recientes dedicados a la clarificación de la compleja composición del betún. Después se estudian varios procedimientos para aumentar la adhesividad del betún hacia los áridos, enfatizando que la mejora puede lograrse tanto con aditivos básicos como ácidos. También se indican métodos para incrementar las prestaciones que aportan algunos modificadores tradicionales del betún.
SUMMARY: In this article, aiming to contribute to studies and research, selected a count of the highlights of the chemistry applied to aspects bitumen road is made. Firstly recent analysis devoted to the clarification of the complex composition of bitumen are cited. After several methods are mentioned for enhancing the adhesiveness of the bitumen to the aggregate, emphasizing that improvement can be achieved both acidic and basic additives. Methods are also shown to increase the benefits they bring some traditional bitumen modifiers.
RÉSUMÈ Dans cet article, dans le but de contribuer à l’étude et la recherche, est un dépouillement de certains des aspects plus remarquables de la chimie appliquée à l’asphalte bitume pour les routes. Tout d’abord cité une analyse récente consacrée à la clarification de la composition complexe du bitume. Après plusieurs procédures sont étudiées pour augmenter l’adhérence du bitume aux agrégats, soulignant que l’amélioration peut être réalisée tous les deux avec des additifs de base comme les acides. Méthodes pour augmenter les avantages qu’offrent certains modificateurs de bitume traditionnel sont également indiqués.
NATURALEZA DEL BETÚN ASFÁLTICO
El austriaco Richard Zsigmondy, premio Nobel de Química en 1925 por “la elucidación de la naturaleza heterogénea de las disoluciones coloidales”, expuso la importancia de estos sistemas: “Todos los seres vivos, tanto animales como vegetales, están constituidos en gran parte por coloides, como el suero sanguíneo, los jugos vegetales, la gelatina obtenida de la piel y de los huesos…la goma y la gutapercha, el almidón y la dextrina, la celulosa…en productos inorgánicos…e industriales” (1).
Sabemos que el betún asfáltico empleado en la construcción de carreteras es también, a la temperatura ordinaria, un sistema coloidal del tipo sol, es decir, un agregado de partículas finas, los asfaltenos, dispersas en un medio continuo fluido. Asimismo, conocemos que por ser un sistema liofílico está más próximo a las propias disoluciones.
Los asfaltenos están peptizados por las resinas, compuestos de composición parecida pero de menor tamaño que los asfaltenos. (La palabra peptización la usaron T.Graham y R. Zsigmondy – traducida así por el profesor E.Moles – por el proceso de degradación de las grandes moléculas de albúmina en unidades más pequeñas de peptona bajo la influencia de la enzima proteolítica pepsina y el ácido clorhídrico). Para Kokal y colaboradores la dispersión de los asfaltenos depende de la aromaticidad del betún: si es alta los asfaltenos están dispersados, pero si hay “muchas” parafinas, precipitan (2). Michon y Martin realizaron el análisis de un grupo de betunes asfálticos encontrando un promedio del 68 % de carbono alifático frente al 22 % de carbono aromático; la masa molecular estaba comprendida entre 710 y 1300 g/mol (3)
Según Storm y Shen las partículas de los asfaltenos miden entre 5 y 10 nm (4) y de acuerdo con los análisis efectuados por Christopher y colaboradores están constituidos por anillos aromáticos condensados a través de anillos nafténicos, cadenas parafínicas de 8 a 12 átomos de carbono unidas a los anillos aromáticos y funciones fenol y sulfóxido; así como heterociclos de azufre, oxígeno y nitrógeno y diversos metales en concentraciones de partes por millón (5).
Veamos a continuación algunos aspectos del comportamiento del betún asfáltico para carreteras, así como ciertos métodos para mejorar sus prestaciones.
ACTIVACIÓN DEL BETÚN ASFÁLTICO
En el betún asfáltico existen algunos grupos funcionales: ácidos carboxílicos, anhídridos de ácidos carboxílicos, cetonas, fenoles, sulfóxidos, sulfonas, amidas, pirroles y piridinas. El betún asfáltico empleado para la construcción de carreteras se adsorbe en multicapa sobre los áridos minerales, alineándose las moléculas perpendicularmente a la superficie. En la primera capa monomolecular, los grupos funcionales con oxígeno, nitrógeno y azufre se concentran en la superficie de los áridos, uniéndose a ella por quimisorción. Los ácidos carboxílicos son los más fuertemente adsorbidos, pero, junto a los anhídridos y los sulfóxidos, son los que se desplazan más fácilmente por la acción del agua. Según Plancher, Dorrence y Petersen los grupos menos afectados por el agua son las cetonas y las piridinas (6).
Con el fin de que la quimisorción del betún a los áridos sea más efectiva y el ataque del agua menos decisivo, se agregan al betún diversas sustancias en pequeñas cantidades. Los productos, quizás, más empleados como activadores del betún son los compuestos con grupos amina, que aumentan la adhesividad hacia los distintos tipos de áridos al adsorberse sobre la superficie, desplazando de los grupos activos de esta aquellas moléculas constituyentes del betún que se adsorban más débilmente. Ésta acción está relacionada con la capacidad de mojado, ya que, simultáneamente, el activante disminuye la tensión interfacial, favoreciendo la extensión del ligante sobre la superficie del árido.
Entre los compuestos con grupos amina utilizados como activantes se encuentran: etiléndiamina, dietiléntriamina y trietiléntetramina (7); alquilaminas, alquilamidoaminas, alquilamidopoliaminas e imidazolinas de cadena grasa. Todos estos compuestos tienen el inconveniente de que su efectividad disminuye rápidamente con el tiempo si son almacenados con el betún a temperatura alta.
El autor de este artículo sintetizó, en 1992 – 93, un poliamina de un peso molecular aproximado de 500 g/mol que puede mezclarse con el betún asfáltico en caliente sin necesidad de disolventes, aumentando la adhesividad del betún hacia los áridos en las mezclas asfálticas para la construcción de carreteras. Su fórmula y procedimiento de síntesis está pendiente de publicación. Como activante presenta las propiedades siguientes:
– La aportación de moléculas con varios grupos amino hace que aumente la adsorción de ligante por los áridos y que se incremente la resistencia al desplazamiento por el agua, aunque algunos de los grupos amino sean neutralizados por los grupos ácidos del betún.
– La composición aromática y alifática del radical hidrocarbonato del compuesto facilita la formación de asociaciones entre las moléculas del activante y las del betún asfáltico.
– El elevado peso molecular y la estabilidad térmica del activante permiten que permanezca inalterado al someterlo a almacenamientos prolongados a la temperatura de empleo de las mezclas en caliente. En ensayos de laboratorio no se ha detectado pérdida de actividad significativa tras más de un mes de almacenamiento con asfalto caliente.
– Es conveniente que los porcentajes de activante a utilizar se determinen para cada tipo de mezcla asfalto – árido mediante los ensayos habituales. Suele variar entre 2 y 4 kilogramos de activante por tonelada.
También se han empleado para la activación de algunos betunes asfálticos compuestos con grupos carboxilo, como el ‘tall oil’, los ácidos nafténicos y la colofonia; pero conociendo la debilidad frente al agua de estos ácidos y sabiendo que los derivados del ácido fosfórico mejoran las propiedades de los betunes, el autor de este artículo sintetizó, hacia 1997, un polímero orgánico para emplearlo como agente de adhesividad. El procedimiento de obtención de este activante consistió en la reacción de cantidades equimoleculares de nonilfenol con cuatro moles de óxido de etileno (NF – 4moe, 396 g/mol) y de ácido ortofosfórico (al 75 %, 132g), que equivalen, respectivamente, al 75 y al 25 % en peso de los reactivos. La reacción se produce calentando la mezcla a 170 – 175º C durante unas dos horas, perdiéndose unos 10 gramos de agua por 100 gramos de mezcla , de acuerdo con la reacción:
Las propiedades físicas y químicas del producto son las siguientes:
Estado físico……………………………….Líquido viscoso
Color………………………………………Marrón
Temperatura de vertido…………………………Mayor de 15º C
Densidad a 50ºC……………………………..1,1 g/cc
Viscosidad a 50ºC……………………………950 SSF
Punto de inflamación…………………………Mayor de 150ºC
Índice de acidez…………………………….270 mg KOH/g
– El producto obtenido se emplea para aumentar espectacularmente la adhesividad del betún asfáltico empleado en la construcción de carreteras, mezclándolo sin necesidad de diluyentes ni disolventes.
– Si el betún modificado con el polímero ha de mantenerse algo más de quince días almacenado en caliente, no pierde ni su adsorción mejorada por los áridos ni su resistencia al desplazamiento por el agua.
– La dosificación del producto suele variar entre 1,5 y 3 kilogramos por tonelada de betún asfáltico, aunque es conveniente que el porcentaje adecuado se determine para cada tipo de mezcla árido – betún por los procedimientos habituales.
Si la síntesis del producto se realiza sustituyendo el NF – 4moe por compuestos con 6, con 9, o con más moles de óxido de etileno, los resultados de adhesividad no son tan satisfactorios.
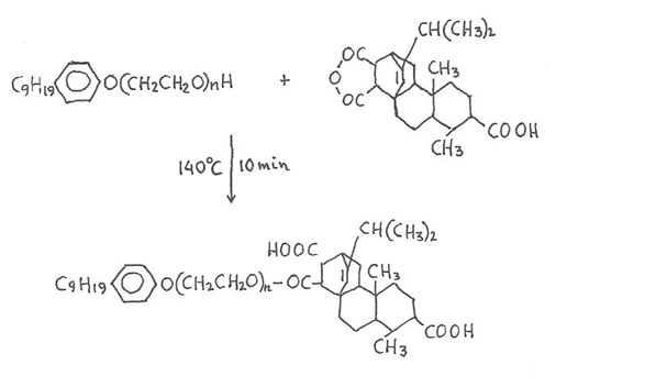
Tanaka y Tamakoi patentaron un producto que mejora la adhesividad de las ‘composiciones asfálticas’ (según su nomenclatura) obtenido mediante la reacción entre
(1)
Asimismo, Mariotti patentó un éster fosfórico de un compuesto constituido por un radical alifático (o un radical mezcla de aromático y alifático) y de 1 a 10 moles de óxido de etileno para añadirlo al betún asfáltico y hacer emulsiones (9). También Miller y Vicenzi, con menos deseos de abarcar la mayor parte de la química, patentaron ‘ésteres fosfóricos de nonilfenol de 9 moles de óxido de etileno como aditivos para asfalto’ (10).
MODIFICACIÓN DEL BETÚN ASFÁLTICO
El betún asfáltico procedente de la destilación del petróleo puede pasar de la estructura de sol a la de gel sometiéndolo a soplado con aire, oxígeno u ozono, a temperatura alta, en ausencia o, preferiblemente, en presencia de catalizadores tales como el tricloruro de aluminio, tricloruro de hierro, pentóxidos de hierro y de vanadio, dióxido de manganeso, naftenatos de cobalto y de manganeso, azufre, anhídridos derivados del naftaleno, y otros. El gel es un sistema coloidal en el que los coloides (asfaltenos) están dispersos en una red fina a través de la masa; puede ser elástico o sólido rígido dependiendo de la viscosidad que haya adquirido el medio líquido.
Por ejemplo, en un estudio sobre los cambios en la composición química de un asfalto soplado con aire a 240º C en presencia de tricloruro de hierro, Quddus, Sarwar y Khan informan de una disminución de las fracciones de saturados y nafténico – aromáticos y un aumento del 12 al 34 % de los asfaltenos; lo que supuso una bajada de la penetración desde 70 a 3 mm y una subida del punto de reblandecimiento de 50 a 126º C y del peso molecular medio desde 700 hasta 1079 g/mol (11).
El betún también se endurece al tratarlo con ácidos inorgánicos a temperaturas de 120 – 150º C, así como por la acción de peróxidos orgánicos e inorgánicos. Alguien informa de un aumento del punto de reblandecimiento desde 40 hasta 140º C (¡) en un tratamiento con ácido sulfúrico.
El betún de las mezclas asfálticas aumenta de viscosidad y se endurece simplemente con el paso del tiempo: es el envejecimiento.
En todos estos procesos, forzados o no, la alteración de la estructura del betún parece ser debida al paso de los compuestos nafténico – aromáticos a polares aromáticos y, de estos, a asfaltenos.
Con el fin de mejorar las características de los betunes asfálticos en sus múltiples aplicaciones, se han experimentado y puesto en práctica un número enorme de procedimientos tendentes a modificar la reología del ligante. A continuación se exponen tres de los más empleados.
Los polímeros de dienos son los elastómeros que más se han estudiado y empleado como modificadores del betún asfáltico, en el que pueden dispersarse en forma coloidal, hincharse o incluso disolverse, dependiendo del tamaño de sus moléculas, del entrecruzamiento de las mismas y de la naturaleza del betún. Los betunes empleados en la construcción de carreteras pueden transformarse por la adición de elastómeros de tener una estructura tipo sol a otra de gel, pasando de plásticos a elásticos.
Los polímeros de dienos más utilizados son los copolímeros de estireno y butadieno, considerándose más adecuados los que contienen menos del 27 % de estireno y han sido obtenidos en bloque lineal estireno – butadieno – estireno (SBS en sus siglas inglesas). La transición de fase o saturación tiene lugar con el 5,5-8,6 % del elastómero, dependiendo de su peso molecular y de la naturaleza del betún, ya que la cantidad de polímero incorporable aumenta al disminuir el porcentaje de asfaltenos. Los aceites aromáticos mejoran la compatibilidad, pero, en cualquier caso, al aumentar la concentración de elastómero se va consiguiendo una fase coherente.
Las modificaciones que proporciona el elastómero al betún, según Lu e Isacsson, son las siguientes: reducción en la penetración y aumento del índice de penetración; mejora de la susceptibilidad térmica, incrementándose la temperatura de reblandecimiento y disminuyendo la fragilidad a temperaturas bajas; mayor elasticidad, más ductilidad a temperaturas bajas y peor a altas, con mejora de las propiedades de fluencia de las mezclas (12).
Debido a las características que aporta al betún, las mezclas asfálticas con SBS incorporado tienen una resistencia y cohesión mejoradas, por lo que se han empleado en la construcción de carreteras sometidas a vibraciones y en pendientes que tengan que soportar cargas elevadas, así como en pavimentos de granulometría abierta.
Las mezclas de betún con polímeros de dienos presentan problemas de estabilidad al almacenamiento y tienden a segregarse. Mancini reclamó que este inconveniente se puede soslayar (al menos parcialmente) reaccionando las mezclas betún – SBS con anhídrido maleico (13).
Con el fin de obtener ligantes asfálticos mejorados, Collins propuso la vulcanización ‘in situ’ del polímero butadieno – estireno (en bloque y en una concentración de hasta el 12 %) mezclado con el betún, adicionando hasta el 2 % de azufre con agitación y temperatura de unos 250º C (14).
La firma francesa Elf ha reivindicado varios métodos para preparar mezclas de betún con elastómeros insaturados (dienos) reticulados que se mantienen estables a temperaturas altas. Chaverot y Lacour patentaron un procedimiento consistente en obtener una mezcla de butadieno – estireno en bloque y una fracción de petróleo agitando a 170º C durante tres horas, añadiendo 2,55 % en peso de azufre y 0,65 % de disulfuro de tetrametiltiuram como catalizador de entrecruzamiento, agitando dos horas más (15).En otro procedimiento, Planche, Gamanaud y Zins emplearon donantes de azufre que contienen agentes de acoplamiento que pueden ser ácidos, cloruros o anhídridos mono o polisulfónicos de 1 a 12 átomos de carbono (16).
Herrington, Wu y Forbes informan sobre la modificación reológica que producen al betún el anhídrido maleico y los ácidos dicarboxílicos (17). En una reacción que llevamos a cabo a 150º C durante seis horas con un betún asfáltico al que se añadió un 3% de anhídrido maleico (punto de fusión 55º C y punto de ebullición
200º C) encontramos que aumentaba la penetración y el punto de reblandecimiento y se producía un incremento del índice de penetración desde – 0,4 hasta +1,7. Los valores indicaban que el anhídrido maleico había reaccionado irreversible y al menos parcialmente con el betún, quizá mediante un mecanismo Diels – Alder que conducía a la formación de redes nuevas entre las moléculas del betún, ligadas a través de enlaces de hidrógeno e interacciones dipolo – dipolo.
El betún así modificado tiene una menor susceptibilidad térmica y un mayor carácter elástico. Es posible que por este procedimiento se pueda obtener un ‘betún multigrado’ valorado en la construcción de carreteras por su buen comportamiento frente a las deformaciones plásticas y por su mayor resistencia al envejecimiento y a la fatiga, lo que redundaría en una mayor durabilidad de los firmes.
Para desprenderse de las molestas ruedas de automóviles desechadas y, al tiempo, intentar unas posibles mejoras de las mezclas asfálticas, se han añadido a dichas mezclas moleduras de goma de neumáticos. Skim – Ton, Kennedy, Piggon y Woodhams consideraron que las moleduras contienen elastómeros vulcanizados y otros compuestos que pueden ser beneficiosos para las mezclas asfálticas (18). Longheed y Papagiannakis advierten que si el polvo de neumáticos (de granulometría variable según el usuario) se mezcla con el árido, las partículas de goma simplemente reemplazan a las del árido; pero si se mezcla con el asfalto en caliente, los compuestos aromáticos ligeros se difunden en las moleduras (19). La temperatura empleada para fabricar las mezclas varía: unos calientan a 180º C y otros llegan hasta 350º C. Para que las mezclas sean más homogéneas, se aprovechen mejor los componentes de los neumáticos y aumente el porcentaje de moleduras incorporable, diversos fabricantes optan por adicionar aceites aromáticos, resinas termoplásticas, elastómeros no vulcanizados de bajo peso molecular, ácido poli fosfórico o ácido dodecilbencenosulfónico. En algunos casos consiguen introducir hasta un 25 % de moleduras en el betún y reivindican mejoras en las mezclas asfálticas.
CONSIDERACIONES
A la vista de lo anteriormente expuesto se pueden destacar los aspectos siguientes:
– El aumento de la aromaticidad de del betún favorece la peptización de los asfaltenos y, por tanto, la estabilidad y el acercamiento del betún al esfado de disolución.
– Es conveniente que los activantes con grupos amino que se usan para aumentar la adhesividad del betún asfáltico a los áridos tengan una estabilidad térmica suficiente si se pretenden almacenar mezclados con el betún a la temperatura de empleo.
– Algunos ésteres orgánicos del ácido ortofosfórico constituyen una alternativa a los activantes amínicos tradicionales.
– En el proceso de envejecimiento aumenta el contenido en asfaltenos, por lo que un betún próximo al estado de disolución envejecerá más lentamente.
– La gelificación del betún asfáltico por otros procedimientos que no sea el aumento de la concentración de asfaltenos puede realizarse por medio de elastómeros, lo que conduce a la obtención de ligantes de la elasticidad conveniente para algunas obras de carretera.
– Si se emplean moleduras de gomas de neumáticos conviene investigar las condiciones para la incorporación de los compuestos y los porcentajes adecuados para optimizar las propiedades de las mezclas asfálticas.
(1) Esta fórmula ha sido incorporada a posteriori por un error de edición.
BIBLIOGRAFÍA
1.- R. Zsigmondy. “Coloidequímica”. Espasa Calpe, 1923 (traducción del profesor E.Moles de la
Universidad de Madrid).
2.- S.Kokal, T.Tang, L.Schramm y S.Syegh; Colloids and Surfaces A 94, 253 – 265 (1995).
3.- L. Michon, D.Martin, J.P.Planche y B.Hanguet; Fuel 76, 1, 9 – 15 (1997).
4.- D.A.Storm y E.Y.Shen; Mater. Res. Soc. Symp. Proc., 376, 449 – 58 (1995).
5.- J. Christopher, A.S.Sarpal, G.S.Kapur, A.Krishna, B.R.Tyagi, M.C.Jain, S.K.Jain y A.R.Bhatnagar;
Fuel, 75, 999 – 1008 (1996).
6.- H.Plancher, S.M.Dorrence y J.C.Petersen; Proc. Assoc. Asphalt Paving Technol.; 46, 151 – 175 1977).
7.- Societe Industrielle de Viabilite; Pat. Fran. 2,175610 (3o nov. 1973).
8.- S.Tanaka y R.Tamakoi; Pat. J.P. 09,176,494 (Kao Corp. 8 jul. 1997).
9.- S.Mariotti; Pat. EP 919588 (Total).
10.- J.C.Miller y S.J.Vicenzi; Pat. US 5,820,663 (Vitech Int. Inc., oct. 1998).
11.- M.A.Quddus, S.N.Zarpar y F.Khan; Fuel, 74, 5, 684 – 689 (1995).
12.- X.Lu y U.Isacsson; Fuel, 76, 1353 – 1359 (1997). Ibidem; J. Test. Eval.; 25, 4, 383 – 390 (1997).
13.- G.Mancini (Euron SPA); Pat. EP 496,457.
14.- J.Collins; Statutory Invent. Regist. US 1,484 (Shell, sept. 1995).
15.- P.Chaverot y C.Lacour (Elf); Pat. Fran. 2, 670497 – 8 (1992).
16.- J.P.Planche, L.Gamanaud y A.Zins (Elf Autar); Pat.Fran. 2, 805 822.
17.- P.R.Herrington, Y.Wu y M.C.Forbes; Fuel 78, 101 – 110 (1999).
18,- J.Skim-Ton, K.A.Kennedy, M.R.Píggott y R.T.Woodhams;
Rubber Chem. Technol., 53, 1, 88 – 106 (1980)
19.- T.J.Longheed y A.T.Papagiannakis; J. Mater. Civ. Eng., 8, 2, 153 – 156 (1996).
